ΑΙΤΗΣΗ ΓΙΑ ΛΗΨΗ ΕΝΗΜΕΡΩΤΙΚΩΝ ΔΕΛΤΙΩΝ
Michastaxoffice
Λογιστικό Φοροτεχνικό Γραφείο Λάρισα
Toggle navigation
Η ΕΤΑΙΡΕΙΑ
ΠΑΡΟΥΣΙΑΣΗ ΕΤΑΙΡΙΑΣ
ΤΙ ΠΡΟΣΦΕΡΟΥΜΕ
ΣΤΟΙΧΕΙΑ ΕΠΙΚΟΙΝΩΝΙΑΣ
ΕΥΡΕΣΗ ΜΑΣ ΣΤΟ ΧΑΡΤΗ
ΕΠΙΚΑΙΡΟΤΗΤΑ
ΓΕΝΙΚΑ ΟΙΚΟΝΟΜΙΚΑ ΘΕΜΑΤΑ
ΜΗΝΙΑΙΕΣ ΥΠΟΧΡΕΩΣΕΙΣ
ΕΙΣΟΔΗΜΑ
Φ.Π.Α.
ΚΦΔ
ΕΡΓΑΤΙΚΑ
ΑΣΦΑΛΙΣΤΙΚΑ
ΑΓΡΟΤΙΚΑ ΦΟΡΟΛΟΓΙΚΑ ΝΕΑ
ΦΟΡΟΛΟΓΙΚΗ ΕΝΗΜΕΡΩΣΗ ΚΑΤΟΙΚΩΝ ΕΞΩΤΕΡΙΚΟΥ
ΒΡΑΧΥΧΡΟΝΙΑ ΜΙΣΘΩΣΗ – airbnb
ΑΠΑΝΤΗΣΕΙΣ ΣΕ FAQ
ΥΠΗΡΕΣΙΕΣ
ΛΟΓΙΣΤΙΚΑ – ΦΟΡΟΤΕΧΝΙΚΑ
ΛΟΓΙΣΤΙΚΑ-ΦΟΡΤΕΧΝΙΚΑ ΣΕ ΙΔΙΩΤΕΣ
ΛΟΓΙΣΤΙΚΑ – ΦΟΡΟΤΕΧΝΙΚΑ ΣΕ ΕΠΙΤΗΔΕΥΜΑΤΙΕΣ
ΕΡΓΑΣΙΑΚΑ – ΑΣΦΑΛΙΣΤΙΚΑ
ΦΟΡΟΛΟΓΙΚΟΣ ΣΧΕΔΙΑΣΜΟΣ ΚΑΙ CASH FLOW
ΥΠΗΡΕΣΙΕΣ ΣΕ ΣΥΝΕΡΓΑΣΙΑ ΜΕ ΕΞΩΤΕΡΙΚΟΥΣ ΣΥΝΕΡΓΑΤΕΣ
ΥΠΗΡΕΣΙΕΣ ΥΠΟΣΤΗΡΙΞΗΣ ΛΟΓΙΣΤΙΚΩΝ ΓΡΑΦΕΙΩΝ
ΓΕΩΓΡΑΦΙΚΗ ΚΑΛΥΨΗ ΥΠΗΡΕΣΙΩΝ
ΕΞΕΙΔΙΚΕΥΜΕΝΕΣ ΥΠΗΡΕΣΙΕΣ
ΦΟΡΟΛΟΓΙΚΗ ΕΝΗΜΕΡΩΣΗ ΑΓΡΟΤΩΝ
ΦΟΡΟΛΟΓΙΚΗ ΕΝΗΜΕΡΩΣΗ ΚΑΤΟΙΚΩΝ ΕΞΩΤΕΡΙΚΟΥ
ΣΕΜΙΝΑΡΙΑ ΕΠΙΜΟΡΦΩΣΗΣ
ΥΠΗΡΕΣΙΕΣ ΔΙΕΚΠΑΙΡΕΩΣΗΣ ΕΞΩΤΕΡΙΚΩΝ ΕΡΓΑΣΙΩΝ
ΦΟΡΟΛΟΓΙΚΑ ARBNB – ΒΡΑΧΥΧΡΟΝΙΑΣ ΜΙΣΘΩΣΗΣ
ΧΡΗΣΙΜΑ
ΦΟΡΟΛΟΓΙΚΑ ΕΝΤΥΠΑ
ΕΝΤΥΠΟ ΦΟΡ. ΑΝΑΜΟΡΦΩΣΗ
ΕΝΤΥΠΟ ΦΠΑ
ΕΝΤΥΠΟ Ε1
ΕΝΤΥΠΟ Ε2
ΕΝΤΥΠΟ Ε3
ΕΝΤΥΠΟ Ε9
ΕΝΤΥΠΑ ΜΗΤΡΩΟΥ
ΕΝΤΥΠΟ Μ0
ΕΝΤΥΠΟ Μ1
ΕΝΤΥΠΟ Μ2
ΕΝΤΥΠΟ Μ3
ΕΝΤΥΠΟ Μ4
ΕΝΤΥΠΟ Μ5
ΕΝΤΥΠΟ Μ6
ΕΝΤΥΠΟ Μ7
ΕΝΤΥΠΟ Μ8
ΕΝΤΥΠΟ Μ9
ΕΝΤΥΠΟ Μ10
ΕΝΤΥΠΟ Μ11
ΕΝΤΥΠΟ Μ12
ΕΝΤΥΠΟ Μ13
ΥΠΕΥΘΥΝΗ ΔΗΛΩΣΗ
ΑΙΤΗΣΗ – ΥΠΕΥΘΥΝΗ ΔΗΛΩΣΗ
ΔΗΛΩΣΗ GDPR
ΧΡΗΣΙΜΟΙ ΣΥΝΔΕΣΜΟΙ
ΠΟΛΙΤΙΚΗ ΑΠΟΡΡΗΤΟΥ
ΕΡΓΑΣΙΑΣ
ΕΝΗΜΕΡΩΣΗ:
Φορολογικές Υποχρεώσεις Απριλίου
April 2, 2026
Ενημερωτικό – Νέοι ΚΑΔ (κύριοι) στην ΨΗΦΙΑΚΗ ΚΑΡΤΑ
March 29, 2026
Μίχας Νικόλαος
Οικονομικές, Λογιστικές & Φοροτεχνικές Υπηρεσίες
Ρούσβελτ 51, Λάρισα
Michas Nikolaos
Financial & Accounding Services
Roosevelt 51, Larisa
Μίχας Νικόλαος
Οικονομικές, Λογιστικές & Φοροτεχνικές Υπηρεσίες
Ρούσβελτ 51, Λάρισα
Michas Nikolaos
Financial & Accounding Services
Roosevelt 51, Larisa
Μίχας Νικόλαος
Οικονομικές, Λογιστικές & Φοροτεχνικές Υπηρεσίες
Ρούσβελτ 51, Λάρισα
Michas Nikolaos
Financial & Accounding Services
Roosevelt 51, Larisa
Μίχας Νικόλαος
Οικονομικές, Λογιστικές & Φοροτεχνικές Υπηρεσίες
Ρούσβελτ 51, Λάρισα
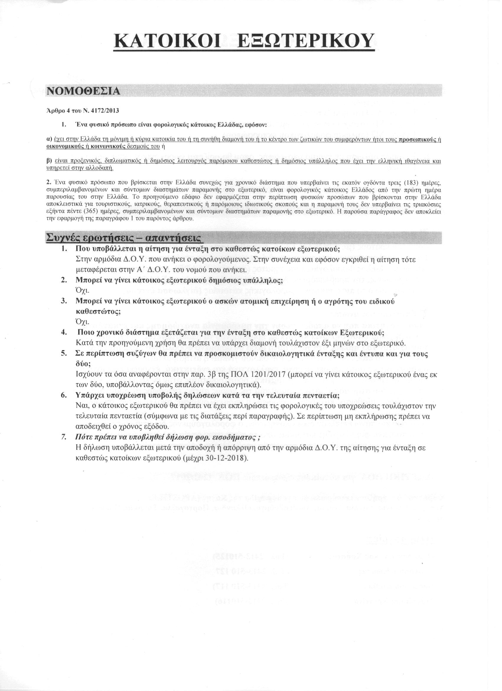
Κάτοικοι Εξωτερικού(Νομοθεσία)
Please follow and like us:
Related Posts
Φορολογικές Υποχρεώσεις Απριλίου
Apr 2, 2026
Ενημερωτικό – Νέοι ΚΑΔ (κύριοι) στην ΨΗΦΙΑΚΗ ΚΑΡΤΑ
Mar 29, 2026
Έως 31 Μαρτίου η πληρωμή της 1ης δόσης ΕΝΦΙΑ
Mar 16, 2026
Previous
Κάτοικοι Εξωτερικού (Νομοθεσία)
Η ιστοσελίδα μας χρησιμοποιεί cookies για να διασφαλίσει την μέγιστη λειτουργικότητα και εξυπηρέτησή σας. Εάν συνεχιστεί η πλοήγησή σας στην σελίδα μας, θεωρούμε ότι είστε ικανοποιημένοι από τις υπηρεσίες μας.
Ok
Privacy policy