• ΑΙΤΗΣΗ ΓΙΑ ΛΗΨΗ ΕΝΗΜΕΡΩΤΙΚΩΝ ΔΕΛΤΙΩΝ

Michastaxoffice

Λογιστικό Φοροτεχνικό Γραφείο Λάρισα

Michastaxoffice
  • Η ΕΤΑΙΡΕΙΑ
    • ΠΑΡΟΥΣΙΑΣΗ ΕΤΑΙΡΙΑΣ
    • ΤΙ ΠΡΟΣΦΕΡΟΥΜΕ
    • ΣΤΟΙΧΕΙΑ ΕΠΙΚΟΙΝΩΝΙΑΣ
    • ΕΥΡΕΣΗ ΜΑΣ ΣΤΟ ΧΑΡΤΗ
  • ΕΠΙΚΑΙΡΟΤΗΤΑ
    • ΓΕΝΙΚΑ ΟΙΚΟΝΟΜΙΚΑ ΘΕΜΑΤΑ
    • ΜΗΝΙΑΙΕΣ ΥΠΟΧΡΕΩΣΕΙΣ
    • ΕΙΣΟΔΗΜΑ
    • Φ.Π.Α.
    • ΚΦΔ
    • ΕΡΓΑΤΙΚΑ
    • ΑΣΦΑΛΙΣΤΙΚΑ
    • ΑΓΡΟΤΙΚΑ ΦΟΡΟΛΟΓΙΚΑ ΝΕΑ
    • ΦΟΡΟΛΟΓΙΚΗ ΕΝΗΜΕΡΩΣΗ ΚΑΤΟΙΚΩΝ ΕΞΩΤΕΡΙΚΟΥ
    • ΒΡΑΧΥΧΡΟΝΙΑ ΜΙΣΘΩΣΗ – airbnb
    • ΑΠΑΝΤΗΣΕΙΣ ΣΕ FAQ
  • ΥΠΗΡΕΣΙΕΣ
    • ΛΟΓΙΣΤΙΚΑ – ΦΟΡΟΤΕΧΝΙΚΑ
      • ΛΟΓΙΣΤΙΚΑ-ΦΟΡΤΕΧΝΙΚΑ ΣΕ ΙΔΙΩΤΕΣ
      • ΛΟΓΙΣΤΙΚΑ – ΦΟΡΟΤΕΧΝΙΚΑ ΣΕ ΕΠΙΤΗΔΕΥΜΑΤΙΕΣ
    • ΕΡΓΑΣΙΑΚΑ – ΑΣΦΑΛΙΣΤΙΚΑ
    • ΦΟΡΟΛΟΓΙΚΟΣ ΣΧΕΔΙΑΣΜΟΣ ΚΑΙ CASH FLOW
    • ΥΠΗΡΕΣΙΕΣ ΣΕ ΣΥΝΕΡΓΑΣΙΑ ΜΕ ΕΞΩΤΕΡΙΚΟΥΣ ΣΥΝΕΡΓΑΤΕΣ
    • ΥΠΗΡΕΣΙΕΣ ΥΠΟΣΤΗΡΙΞΗΣ ΛΟΓΙΣΤΙΚΩΝ ΓΡΑΦΕΙΩΝ
    • ΓΕΩΓΡΑΦΙΚΗ ΚΑΛΥΨΗ ΥΠΗΡΕΣΙΩΝ
  • ΕΞΕΙΔΙΚΕΥΜΕΝΕΣ ΥΠΗΡΕΣΙΕΣ
    • ΦΟΡΟΛΟΓΙΚΗ ΕΝΗΜΕΡΩΣΗ ΑΓΡΟΤΩΝ
    • ΦΟΡΟΛΟΓΙΚΗ ΕΝΗΜΕΡΩΣΗ ΚΑΤΟΙΚΩΝ ΕΞΩΤΕΡΙΚΟΥ
    • ΣΕΜΙΝΑΡΙΑ ΕΠΙΜΟΡΦΩΣΗΣ
    • ΥΠΗΡΕΣΙΕΣ ΔΙΕΚΠΑΙΡΕΩΣΗΣ ΕΞΩΤΕΡΙΚΩΝ ΕΡΓΑΣΙΩΝ
    • ΦΟΡΟΛΟΓΙΚΑ ARBNB – ΒΡΑΧΥΧΡΟΝΙΑΣ ΜΙΣΘΩΣΗΣ
  • ΧΡΗΣΙΜΑ
    • ΦΟΡΟΛΟΓΙΚΑ ΕΝΤΥΠΑ
      • ΕΝΤΥΠΟ ΦΟΡ. ΑΝΑΜΟΡΦΩΣΗ
      • ΕΝΤΥΠΟ ΦΠΑ
      • ΕΝΤΥΠΟ Ε1
      • ΕΝΤΥΠΟ Ε2
      • ΕΝΤΥΠΟ Ε3
      • ΕΝΤΥΠΟ Ε9
    • ΕΝΤΥΠΑ ΜΗΤΡΩΟΥ
      • ΕΝΤΥΠΟ Μ0
      • ΕΝΤΥΠΟ Μ1
      • ΕΝΤΥΠΟ Μ2
      • ΕΝΤΥΠΟ Μ3
      • ΕΝΤΥΠΟ Μ4
      • ΕΝΤΥΠΟ Μ5
      • ΕΝΤΥΠΟ Μ6
      • ΕΝΤΥΠΟ Μ7
      • ΕΝΤΥΠΟ Μ8
      • ΕΝΤΥΠΟ Μ9
      • ΕΝΤΥΠΟ Μ10
      • ΕΝΤΥΠΟ Μ11
      • ΕΝΤΥΠΟ Μ12
      • ΕΝΤΥΠΟ Μ13
    • ΥΠΕΥΘΥΝΗ ΔΗΛΩΣΗ
    • ΑΙΤΗΣΗ – ΥΠΕΥΘΥΝΗ ΔΗΛΩΣΗ
    • ΔΗΛΩΣΗ GDPR
    • ΧΡΗΣΙΜΟΙ ΣΥΝΔΕΣΜΟΙ
    • ΠΟΛΙΤΙΚΗ ΑΠΟΡΡΗΤΟΥ
  • ΕΡΓΑΣΙΑΣ

ΕΝΗΜΕΡΩΣΗ:

  • Φορολογικές Υποχρεώσεις  Απριλίου April 2, 2026
  • Ενημερωτικό – Νέοι ΚΑΔ (κύριοι) στην  ΨΗΦΙΑΚΗ ΚΑΡΤΑ March 29, 2026
Μίχας Νικόλαος
Οικονομικές, Λογιστικές & Φοροτεχνικές Υπηρεσίες
Ρούσβελτ 51, Λάρισα
Michas Nikolaos
Financial & Accounding Services
Roosevelt 51, Larisa
Μίχας Νικόλαος
Οικονομικές, Λογιστικές & Φοροτεχνικές Υπηρεσίες
Ρούσβελτ 51, Λάρισα
Michas Nikolaos
Financial & Accounding Services
Roosevelt 51, Larisa
Μίχας Νικόλαος
Οικονομικές, Λογιστικές & Φοροτεχνικές Υπηρεσίες
Ρούσβελτ 51, Λάρισα
Michas Nikolaos
Financial & Accounding Services
Roosevelt 51, Larisa
Μίχας Νικόλαος
Οικονομικές, Λογιστικές & Φοροτεχνικές Υπηρεσίες
Ρούσβελτ 51, Λάρισα
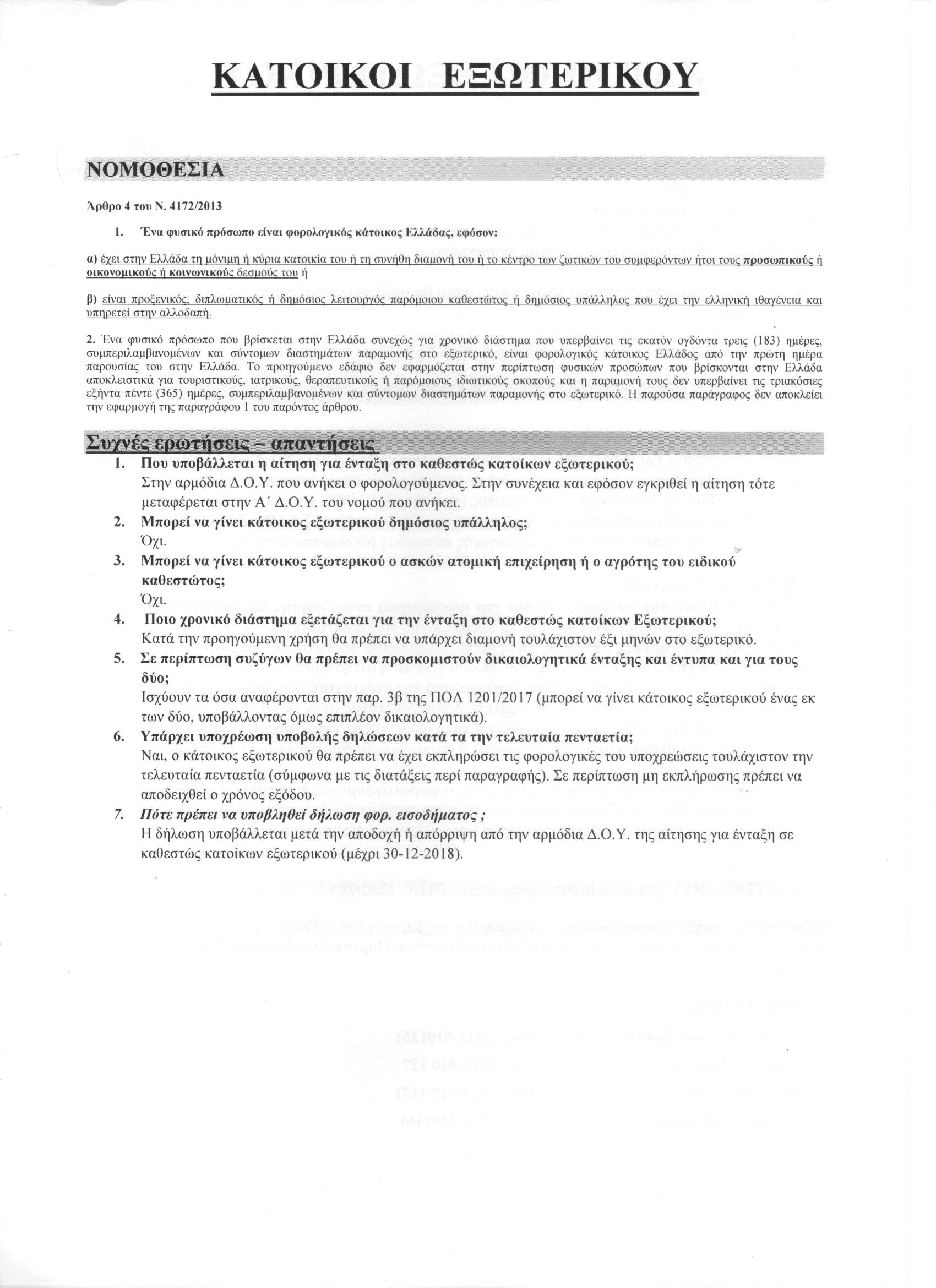
ΦΟΡΟΛΟΓΙΚΗ ΕΝΗΜΕΡΩΣΗ ΚΑΤΟΙΚΩΝ ΕΞΩΤΕΡΙΚΟΥ

Κάτοικοι Εξωτερικού (Νομοθεσία)

  • March 1, 2019
  • /
  • By:michastaxoffice admin
  • /
  • No Comments
Please follow and like us:
fb-share-icon
Tweet
fb-share-icon

Related Posts

  • Φορολογικές Υποχρεώσεις  Απριλίου

    Apr 2, 2026
  • Ενημερωτικό – Νέοι ΚΑΔ (κύριοι) στην  ΨΗΦΙΑΚΗ ΚΑΡΤΑ

    Mar 29, 2026
  • Έως 31 Μαρτίου η πληρωμή της 1ης δόσης ΕΝΦΙΑ

    Mar 16, 2026
Previous Κάτοικοι Εξωτερικού(Δικαιολογητικά)
Next Απόφαση μειωμένων ασφαλιστικών εισφορών εργοδοτών , σε εργαζόμενους εως 25 ετών , από 1/1/2019

Κείμενο προς αναζήτηση

Αρχείο αναρτήσεων ανά μήνα

Αρχείο αναρτήσεων ανά κατηγορία

Proudly powered by WordPress | Modified by: AgM.

Η ιστοσελίδα μας χρησιμοποιεί cookies για να διασφαλίσει την μέγιστη λειτουργικότητα και εξυπηρέτησή σας. Εάν συνεχιστεί η πλοήγησή σας στην σελίδα μας, θεωρούμε ότι είστε ικανοποιημένοι από τις υπηρεσίες μας.